Лого сайта Reshaka.com

Решака - онлайн ответы Алгебра Колягин, Ткачёва за 10 класс Учебник Базовый и углубленный уровень ФГОС 2017 - 40

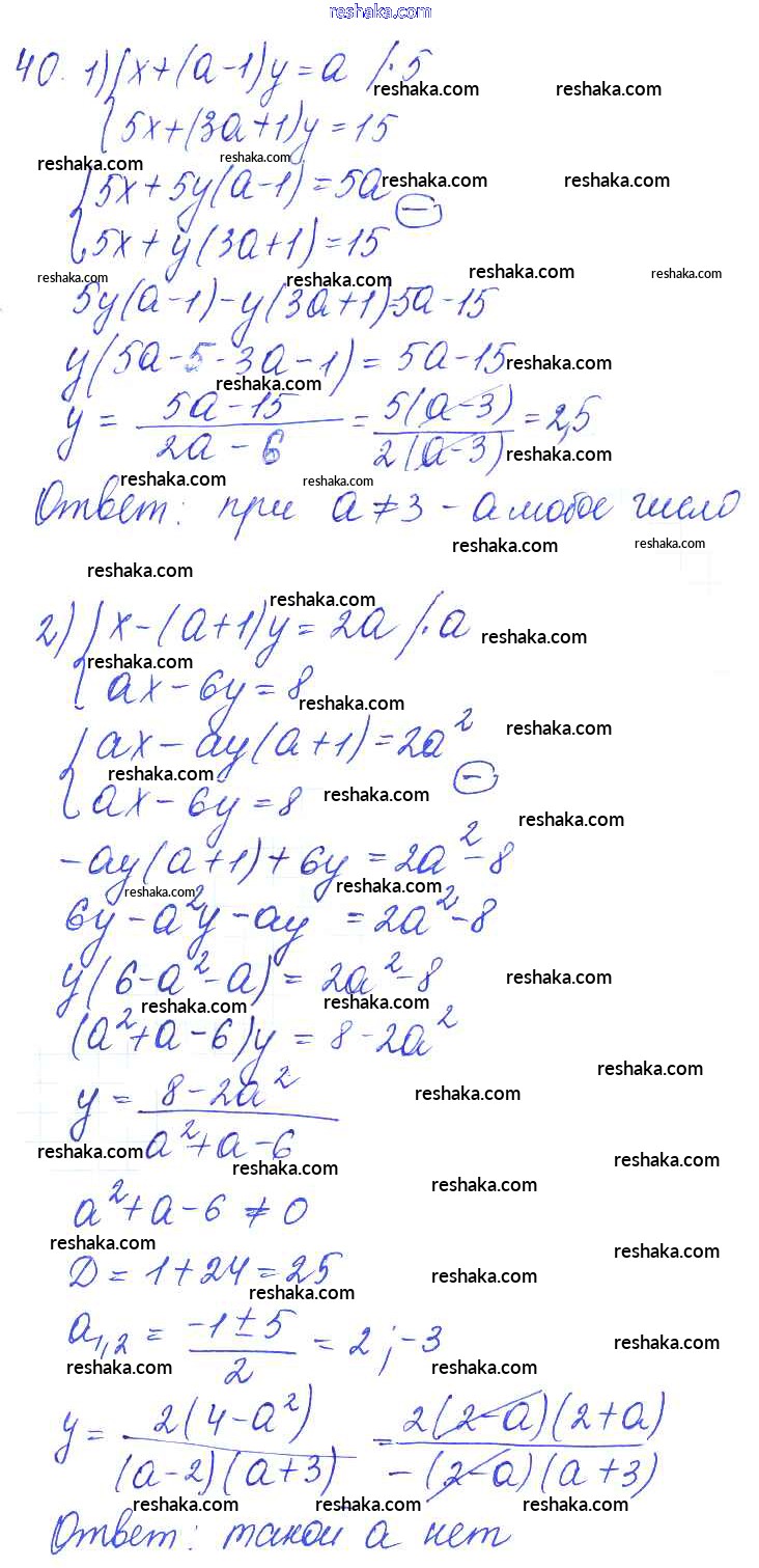
Решебник №1

упражнение № / 40

Решебник №2

упражнение № / 40

Представляем вам сборники по Алгебре, с готовыми ответами к Учебнику Колягин школьной программы для учеников десятый класса. Это не просто гдз с ответом, а с подсказками, как верно решить Упражнения 40. Проверяй домашку с умом и получай высший балл!