Лого сайта Reshaka.com

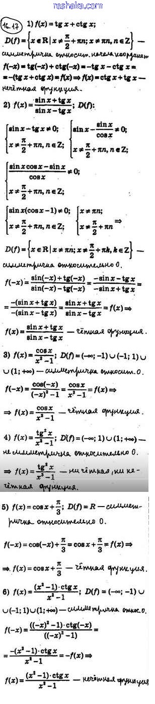
Решака - онлайн ответы Алгебра Мерзляк, Номировский за 10 класс Учебник Базовый уровень ФГОС 2022 - 16.17

Представляем вам сборники по Алгебре, с готовыми ответами к Учебнику Мерзляк школьной программы для учеников десятый класса. Это не просто гдз с ответом, а с подсказками, как верно решить §16. Знаки значений тригонометрических функций. Чётность и нечётность тригонометрических функций 16.17. Проверяй домашку с умом и получай высший балл!