Лого сайта Reshaka.com

Решака - онлайн ответы Алгебра Мерзляк, Номировский за 10 класс Учебник Базовый уровень ФГОС 2022 - 23.27

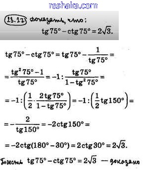
Представляем вам сборники по Алгебре, с готовыми ответами к Учебнику Мерзляк школьной программы для учеников десятый класса. Это не просто гдз с ответом, а с подсказками, как верно решить §23. Формулы двойного и половинного углов 23.27. Проверяй домашку с умом и получай высший балл!