Лого сайта Reshaka.com

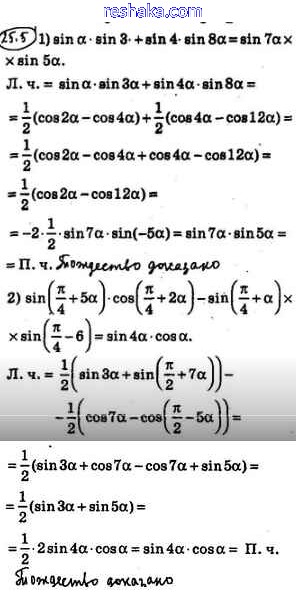
Решака - онлайн ответы Алгебра Мерзляк, Номировский за 10 класс Учебник Базовый уровень ФГОС 2022 - 25.5

Представляем вам сборники по Алгебре, с готовыми ответами к Учебнику Мерзляк школьной программы для учеников десятый класса. Это не просто гдз с ответом, а с подсказками, как верно решить §25. Формулы преобразования произведения тригонометрических функций в сумму 25.5. Проверяй домашку с умом и получай высший балл!