Лого сайта Reshaka.com

Решака - онлайн ответы Алгебра Мерзляк, Номировский за 10 класс Учебник Углубленный уровень ФГОС 2019 - 18.9

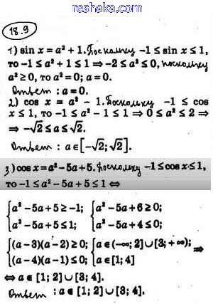
Представляем вам сборники по Алгебре, с готовыми ответами к Учебнику Мерзляк школьной программы для учеников десятый класса. Это не просто гдз с ответом, а с подсказками, как верно решить §18. Тригонометрические функции числового аргумента 18.9. Проверяй домашку с умом и получай высший балл!