Лого сайта Reshaka.com

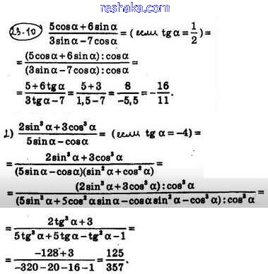
Решака - онлайн ответы Алгебра Мерзляк, Номировский за 10 класс Учебник Углубленный уровень ФГОС 2019 - 23.10

Представляем вам сборники по Алгебре, с готовыми ответами к Учебнику Мерзляк школьной программы для учеников десятый класса. Это не просто гдз с ответом, а с подсказками, как верно решить §23. Основные соотношения между тригонометрическими функциями одного и того же аргумента 23.10. Проверяй домашку с умом и получай высший балл!