Лого сайта Reshaka.com

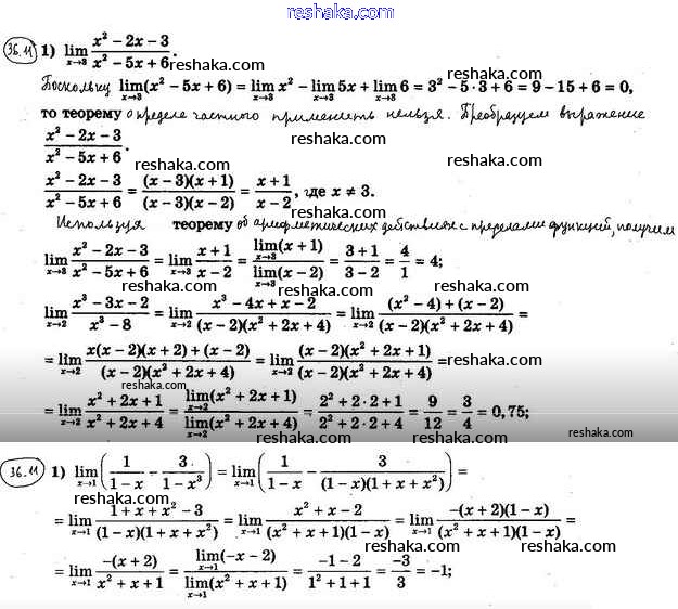
Решака - онлайн ответы Алгебра Мерзляк, Номировский за 10 класс Учебник Углубленный уровень ФГОС 2019 - 36.11

Представляем вам сборники по Алгебре, с готовыми ответами к Учебнику Мерзляк школьной программы для учеников десятый класса. Это не просто гдз с ответом, а с подсказками, как верно решить §36. Определение предела функции в точке и функции, непрерывной в точке 36.11. Проверяй домашку с умом и получай высший балл!