Лого сайта Reshaka.com

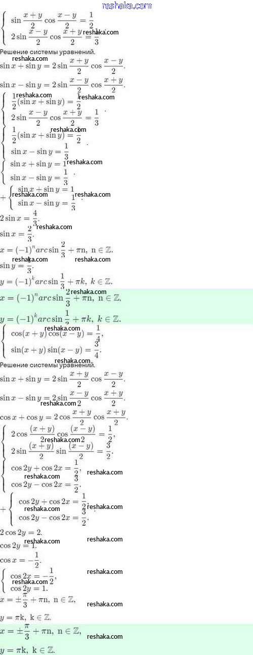
Решака - онлайн ответы Алгебра Мордкович, Семёнов за 10 класс Задачник Базовый и углубленный уровень ФГОС 2017 - 29.27

Представляем вам сборники по Алгебре, с готовыми ответами к Задачнику Мордкович школьной программы для учеников десятый класса. Это не просто гдз с ответом, а с подсказками, как верно решить §29. Преобразование произведения тригонометрических функций в сумму 29.27. Проверяй домашку с умом и получай высший балл!