Лого сайта Reshaka.com

Решака - онлайн ответы Алгебра Мордкович, Семёнов за 10 класс Задачник Базовый и углубленный уровень ФГОС 2017 - 48.24

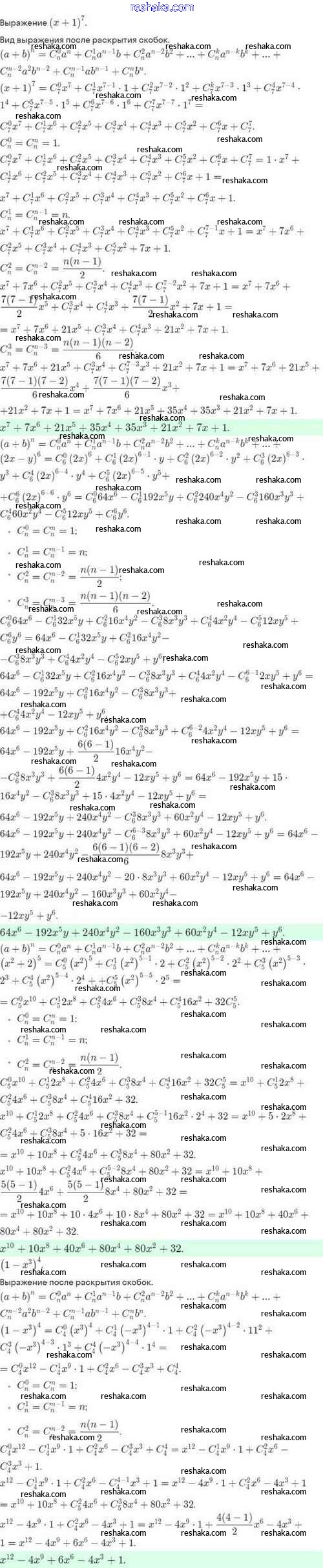
Представляем вам сборники по Алгебре, с готовыми ответами к Задачнику Мордкович школьной программы для учеников десятый класса. Это не просто гдз с ответом, а с подсказками, как верно решить §48. Выбор нескольких элементов. Биноминальные коэффициенты 48.24. Проверяй домашку с умом и получай высший балл!