Лого сайта Reshaka.com

Решака - онлайн ответы Алгебра Никольский, Потапов за 10 класс Учебник Базовый и углубленный уровень ФГОС 2015 - 7.35

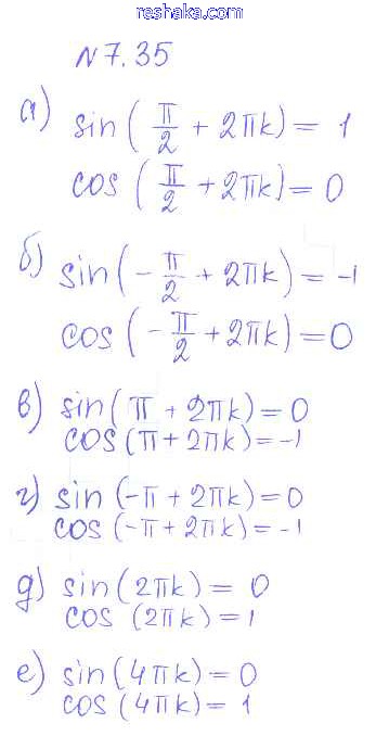
Решебник №1

глава 2 / §7 / 7.35

Решебник №2

глава 2 / §7 / 7.35

Представляем вам сборники по Алгебре, с готовыми ответами к Учебнику Никольский школьной программы для учеников десятый класса. Это не просто гдз с ответом, а с подсказками, как верно решить §7. Синус и косинус угла Глава 2. Тригонометрические формулы. Тригонометрические функции 7.35. Проверяй домашку с умом и получай высший балл!