Лого сайта Reshaka.com

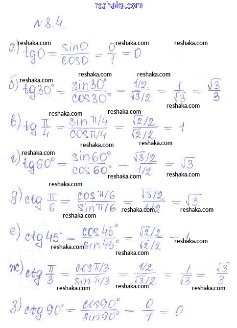
Решака - онлайн ответы Алгебра Никольский, Потапов за 10 класс Учебник Базовый и углубленный уровень ФГОС 2015 - 8.4

Решебник №1

глава 2 / §8 / 8.4

Решебник №2

глава 2 / §8 / 8.4

Представляем вам сборники по Алгебре, с готовыми ответами к Учебнику Никольский школьной программы для учеников десятый класса. Это не просто гдз с ответом, а с подсказками, как верно решить §8. Тангес и катангес угла Глава 2. Тригонометрические формулы. Тригонометрические функции 8.4. Проверяй домашку с умом и получай высший балл!