Лого сайта Reshaka.com

Решака - онлайн ответы Алгебра Никольский, Потапов за 10 класс Учебник Базовый и углубленный уровень ФГОС 2015 - 11.40

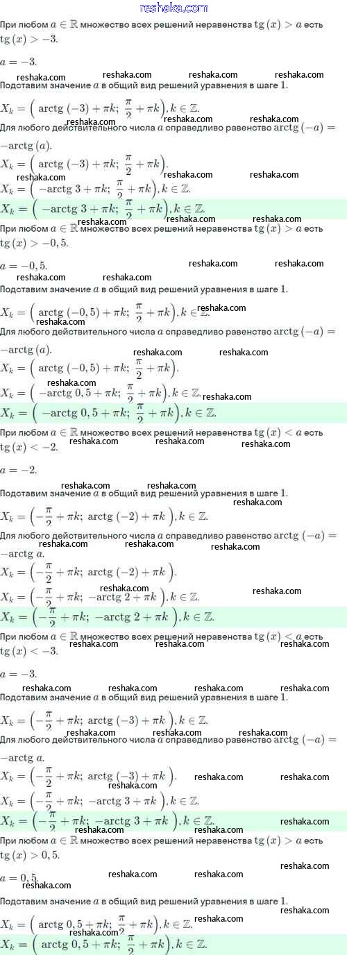
Решебник №1

глава 2 / §11 / 11.40

Решебник №2

глава 2 / §11 / 11.40

Представляем вам сборники по Алгебре, с готовыми ответами к Учебнику Никольский школьной программы для учеников десятый класса. Это не просто гдз с ответом, а с подсказками, как верно решить §11. Тригонометрические уравнения и неравенства Глава 2. Тригонометрические формулы. Тригонометрические функции 11.40. Проверяй домашку с умом и получай высший балл!