Лого сайта Reshaka.com

Решака - онлайн ответы Алгебра Никольский, Потапов за 10 класс Учебник Базовый и углубленный уровень ФГОС 2015 - 12.15

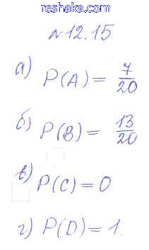
Решебник №1

глава 3 / §12 / 12.15

Решебник №2

глава 3 / §12 / 12.15

Представляем вам сборники по Алгебре, с готовыми ответами к Учебнику Никольский школьной программы для учеников десятый класса. Это не просто гдз с ответом, а с подсказками, как верно решить §12. Вероятность события Глава 3. Элементы теории вероятностей 12.15. Проверяй домашку с умом и получай высший балл!