Лого сайта Reshaka.com

Решака - онлайн ответы Алгебра Никольский, Потапов за 10 класс Учебник Базовый и углубленный уровень ФГОС 2015 - 13.5

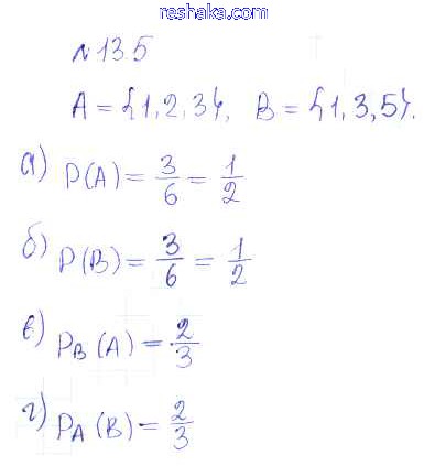
Решебник №1

глава 3 / §13 / 13.5

Решебник №2

глава 3 / §13 / 13.5

Представляем вам сборники по Алгебре, с готовыми ответами к Учебнику Никольский школьной программы для учеников десятый класса. Это не просто гдз с ответом, а с подсказками, как верно решить §13. Частота. Условная вероятность Глава 3. Элементы теории вероятностей 13.5. Проверяй домашку с умом и получай высший балл!