Лого сайта Reshaka.com

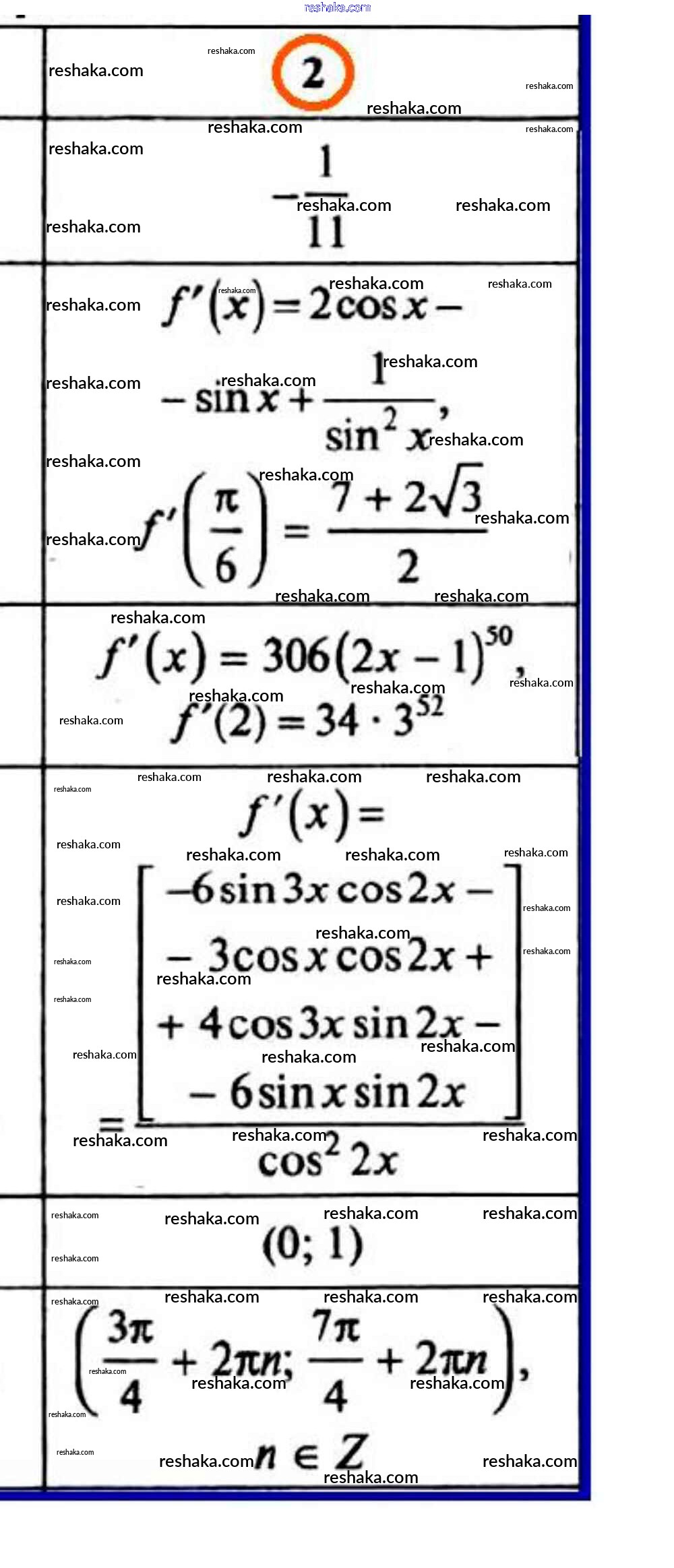
Решака - онлайн ответы Алгебра Рурукин за 10 класс Контрольно-измерительные материалы (КИМ) ФГОС 2017 - 2

Представляем вам сборники по Алгебре, с готовыми ответами к Контрольно-измерительным материалам (КИМ) Рурукин школьной программы для учеников десятый класса. Это не просто гдз с ответом, а с подсказками, как верно решить Контрольная работа 7 2. Проверяй домашку с умом и получай высший балл!