Лого сайта Reshaka.com

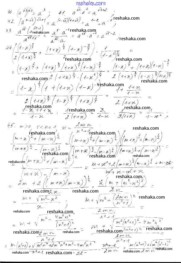
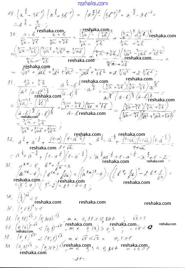
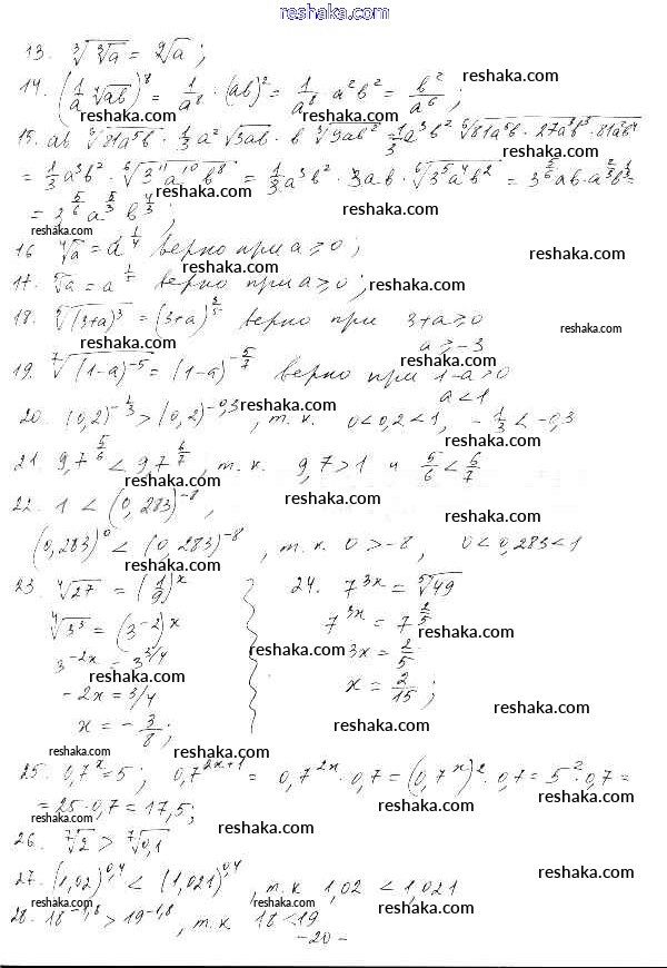
Решака - онлайн ответы Алгебра Шабунин, Ткачева за 10 класс Дидактические материалы Базовый и углубленный уровень ФГОС 2017 - вариант 2

Представляем вам сборники по Алгебре, с готовыми ответами к Дидактическим материалам Шабунин школьной программы для учеников десятый класса. Это не просто гдз с ответом, а с подсказками, как верно решить §5. Степень с рациональным и действительным показателями Глава 1. Действительные числа вариант 2. Проверяй домашку с умом и получай высший балл!