Лого сайта Reshaka.com

Решака - онлайн ответы Алгебра Шабунин, Ткачева за 10 класс Дидактические материалы Базовый и углубленный уровень ФГОС 2017 - вариант 2

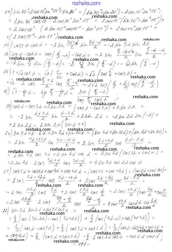
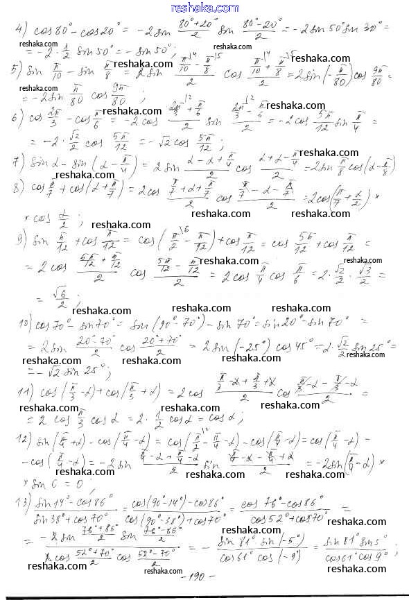
Представляем вам сборники по Алгебре, с готовыми ответами к Дидактическим материалам Шабунин школьной программы для учеников десятый класса. Это не просто гдз с ответом, а с подсказками, как верно решить §32. Сумма и разность синусов. Сумма и разность косинусов Глава 5. Тригонометрические формулы вариант 2. Проверяй домашку с умом и получай высший балл!