Лого сайта Reshaka.com

Решака - онлайн ответы Алгебра Александрова за 11 класс Самостоятельные работы Базовый уровень ФГОС 2016 - 3

Решебник

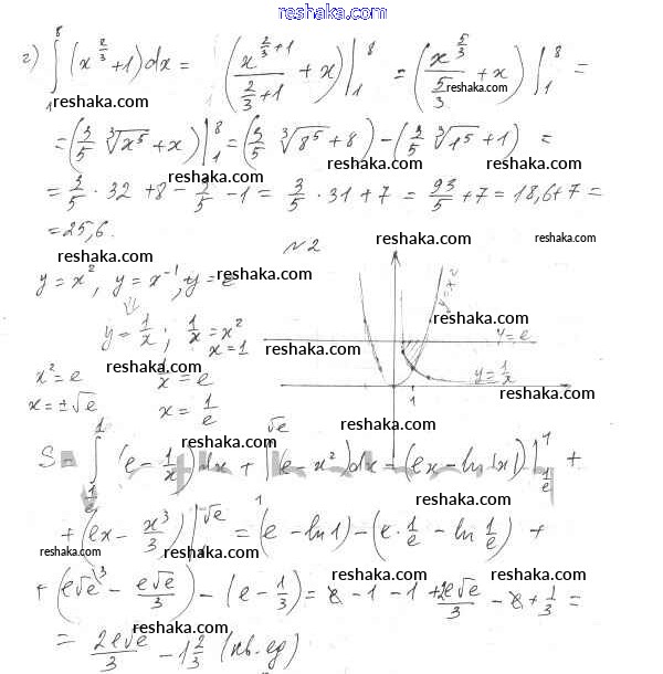
самостоятельная работа 28 (вариант) / 3

Представляем вам сборники по Алгебре, с готовыми ответами к Самостоятельным работам Александрова школьной программы для учеников одиннадцатый класса. Это не просто гдз с ответом, а с подсказками, как верно решить Самостоятельные работы 28 (Варианты) 3. Проверяй домашку с умом и получай высший балл!