Лого сайта Reshaka.com

Решака - онлайн ответы Алгебра Александрова за 11 класс Самостоятельные работы Базовый уровень ФГОС 2016 - 2

Решебник

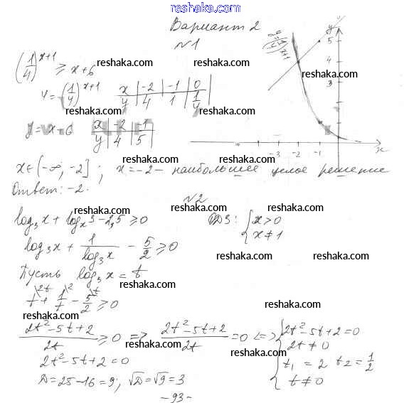
самостоятельная работа 36 (вариант) / 2

Представляем вам сборники по Алгебре, с готовыми ответами к Самостоятельным работам Александрова школьной программы для учеников одиннадцатый класса. Это не просто гдз с ответом, а с подсказками, как верно решить Самостоятельные работы 36 (Варианты) 2. Проверяй домашку с умом и получай высший балл!