Решака - онлайн ответы Алгебра Алимов, Ткачева за 10-11 класс Учебник Базовый и углубленный уровень ФГОС 2015 - 245
Решебник №1
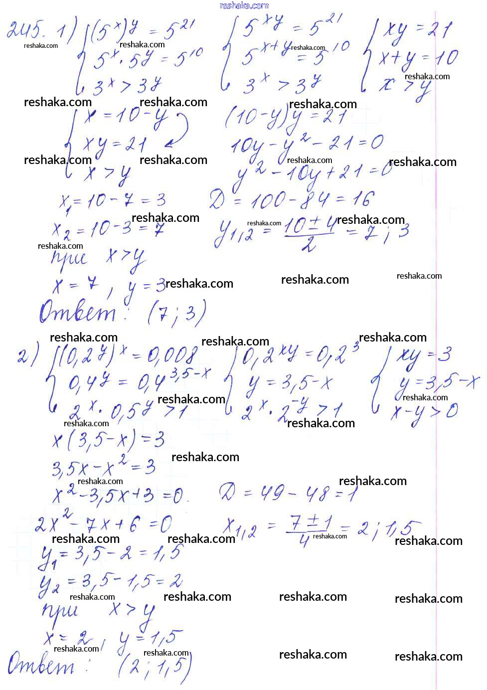
упражнение / 245

Решебник №2
упражнение / 245

Представляем вам сборники по Алгебре, с готовыми ответами к Учебнику Алимов школьной программы для учеников десятый-одиннадцатый класса. Это не просто гдз с ответом, а с подсказками, как верно решить Упражнения 245. Проверяй домашку с умом и получай высший балл!