Решака - онлайн ответы Алгебра Колмогоров, Абрамов за 10-11 класс Учебник ФГОС 2008 - 216
Решебник №1
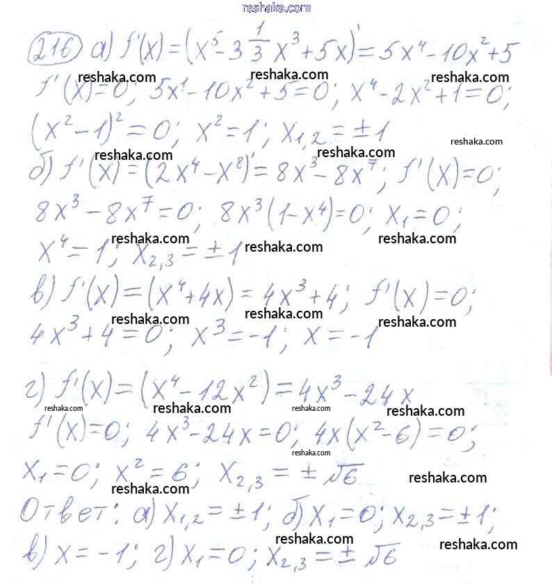
упражнение / 216

Решебник №3
упражнение / 216

Представляем вам сборники по Алгебре, с готовыми ответами к Учебнику Колмогоров школьной программы для учеников десятый-одиннадцатый класса. Это не просто гдз с ответом, а с подсказками, как верно решить Упражнения 216. Проверяй домашку с умом и получай высший балл!