Решака - онлайн ответы Алгебра Колмогоров, Абрамов за 10-11 класс Учебник ФГОС 2008 - 266
Решебник №1
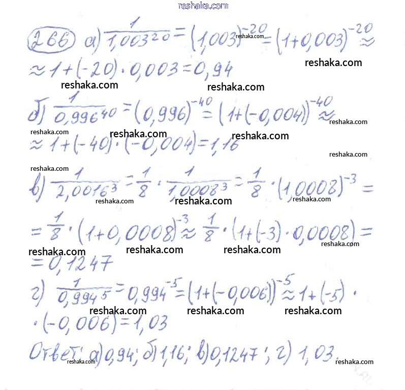
упражнение / 266

Решебник №3
упражнение / 266

Представляем вам сборники по Алгебре, с готовыми ответами к Учебнику Колмогоров школьной программы для учеников десятый-одиннадцатый класса. Это не просто гдз с ответом, а с подсказками, как верно решить Упражнения 266. Проверяй домашку с умом и получай высший балл!