Лого сайта Reshaka.com

Решака - онлайн ответы Алгебра Мерзляк, Номировский за 11 класс Учебник Базовый и профильный уровни ФГОС 2017 - 7.17

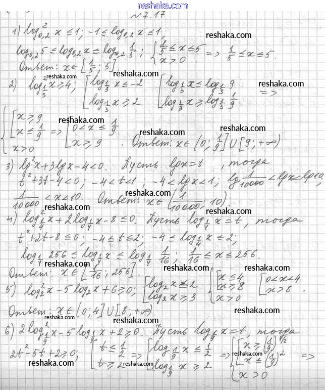
Представляем вам сборники по Алгебре, с готовыми ответами к Учебнику Мерзляк школьной программы для учеников одиннадцатый класса. Это не просто гдз с ответом, а с подсказками, как верно решить §7. Точки экстремума функции 7.17. Проверяй домашку с умом и получай высший балл!