Лого сайта Reshaka.com

Решака - онлайн ответы Алгебра Мерзляк, Номировский за 11 класс Учебник Базовый и профильный уровни ФГОС 2017 - 11.9

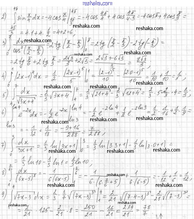
Представляем вам сборники по Алгебре, с готовыми ответами к Учебнику Мерзляк школьной программы для учеников одиннадцатый класса. Это не просто гдз с ответом, а с подсказками, как верно решить §11. Показательные уравнения 11.9. Проверяй домашку с умом и получай высший балл!