Лого сайта Reshaka.com

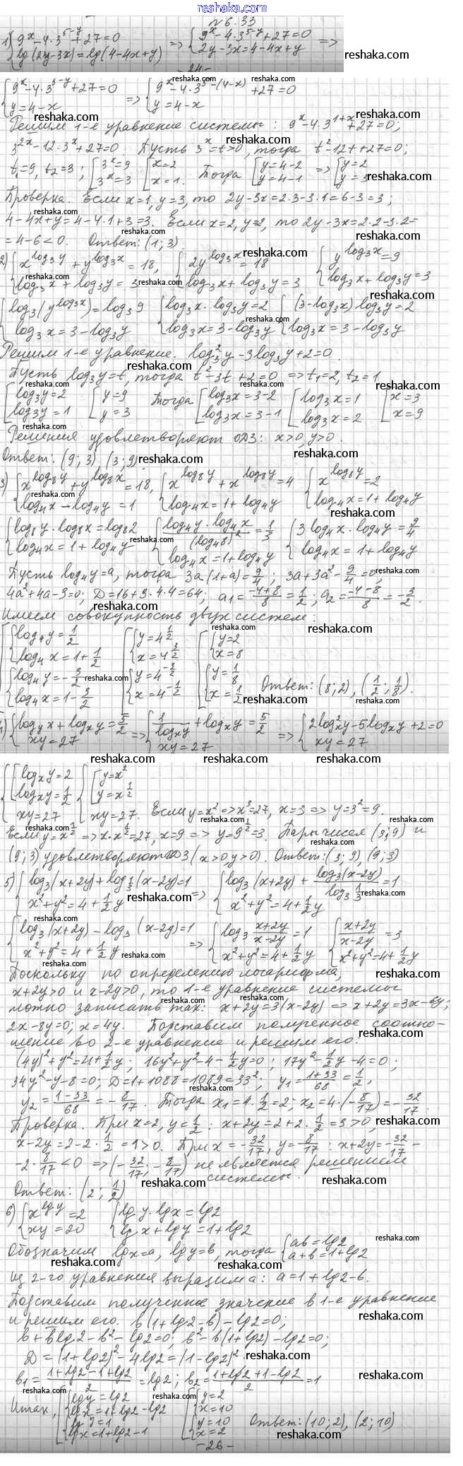
Решака - онлайн ответы Алгебра Мерзляк, Номировский за 11 класс Учебник Углубленный уровень ФГОС 2019 - 6.33

Представляем вам сборники по Алгебре, с готовыми ответами к Учебнику Мерзляк школьной программы для учеников одиннадцатый класса. Это не просто гдз с ответом, а с подсказками, как верно решить §6. Логарифмические уравнения 6.33. Проверяй домашку с умом и получай высший балл!