Лого сайта Reshaka.com

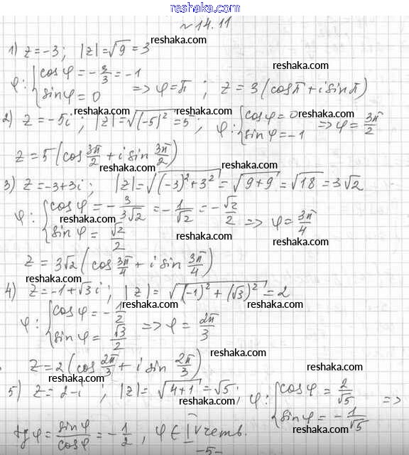
Решака - онлайн ответы Алгебра Мерзляк, Номировский за 11 класс Учебник Углубленный уровень ФГОС 2019 - 14.11

Представляем вам сборники по Алгебре, с готовыми ответами к Учебнику Мерзляк школьной программы для учеников одиннадцатый класса. Это не просто гдз с ответом, а с подсказками, как верно решить §14. Комплексная плоскость. Тригонометрическая форма комплексного числа 14.11. Проверяй домашку с умом и получай высший балл!