Лого сайта Reshaka.com

Решака - онлайн ответы Алгебра Мерзляк, Номировский за 11 класс Учебник Углубленный уровень ФГОС 2019 - 15.10

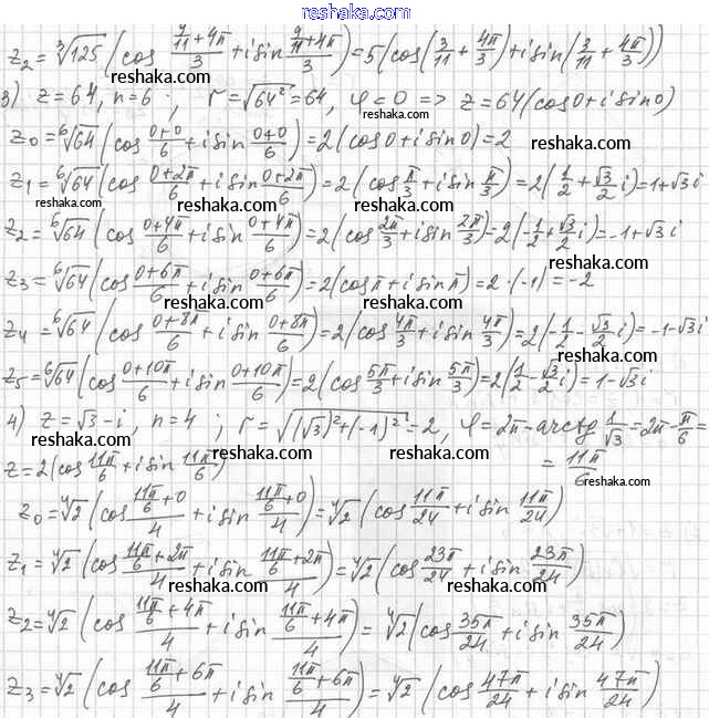
Представляем вам сборники по Алгебре, с готовыми ответами к Учебнику Мерзляк школьной программы для учеников одиннадцатый класса. Это не просто гдз с ответом, а с подсказками, как верно решить §15. Умножение и деление комплексных чисел, записанных в тригонометрической форме. Корень n-й степени из комплексного числа 15.10. Проверяй домашку с умом и получай высший балл!