Лого сайта Reshaka.com

Решака - онлайн ответы Алгебра Мордкович, Семёнов за 11 класс Задачник Базовый и углубленный уровень ФГОС 2017 - 21.39

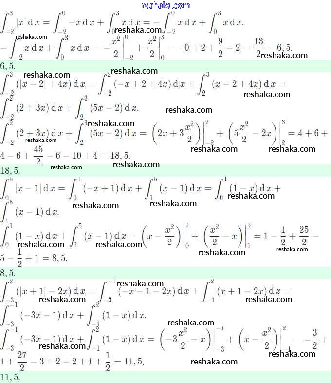
Представляем вам сборники по Алгебре, с готовыми ответами к Задачнику Мордкович школьной программы для учеников одиннадцатый класса. Это не просто гдз с ответом, а с подсказками, как верно решить §21. Определённый интеграл 21.39. Проверяй домашку с умом и получай высший балл!