Решака - онлайн ответы Алгебра Мордкович, Денищева за 10-11 класс Задачник Базовый уровень ФГОС 2015 - 43. 26
Решебник №1
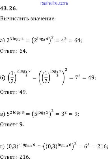
глава 7 / §43 / 43. 26

Решебник №2
глава 7 / §43 / 43. 26

Представляем вам сборники по Алгебре, с готовыми ответами к Задачнику Мордкович школьной программы для учеников десятый-одиннадцатый класса. Это не просто гдз с ответом, а с подсказками, как верно решить §43. Свойства логарифмов Глава 7 43. 26. Проверяй домашку с умом и получай высший балл!