Решака - онлайн ответы Алгебра Мордкович, Денищева за 10-11 класс Задачник Базовый уровень ФГОС 2015 - 44. 8
Решебник №1
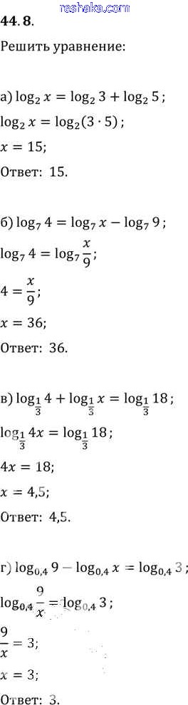
глава 7 / §44 / 44. 8

Решебник №2
глава 7 / §44 / 44. 8

Представляем вам сборники по Алгебре, с готовыми ответами к Задачнику Мордкович школьной программы для учеников десятый-одиннадцатый класса. Это не просто гдз с ответом, а с подсказками, как верно решить §44. Логарифмические уравнения Глава 7 44. 8. Проверяй домашку с умом и получай высший балл!