Решака - онлайн ответы Алгебра Мордкович, Денищева за 10-11 класс Задачник Базовый уровень ФГОС 2015 - 45. 9
Решебник №1
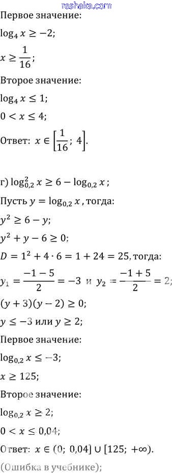
глава 7 / §45 / 45. 9

Решебник №2
глава 7 / §45 / 45. 9



Представляем вам сборники по Алгебре, с готовыми ответами к Задачнику Мордкович школьной программы для учеников десятый-одиннадцатый класса. Это не просто гдз с ответом, а с подсказками, как верно решить §45. Логарифмические неравенства Глава 7 45. 9. Проверяй домашку с умом и получай высший балл!