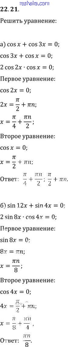
Решака - онлайн ответы Алгебра Мордкович, Денищева за 10-11 класс Задачник Базовый уровень ФГОС 2015 - 22. 21
Решебник №1
глава 4 / §22 / 22. 21

Решебник №2
глава 4 / §22 / 22. 21


Решебник №3
глава 4 / §22 / 22. 21

Представляем вам сборники по Алгебре, с готовыми ответами к Задачнику Мордкович школьной программы для учеников десятый-одиннадцатый класса. Это не просто гдз с ответом, а с подсказками, как верно решить §22. Преобразование суммы тригонометрических функций в произведения Глава 4 22. 21. Проверяй домашку с умом и получай высший балл!