Решака - онлайн ответы Алгебра Мордкович, Денищева за 10-11 класс Задачник Базовый уровень ФГОС 2015 - 26. 21
Решебник №1
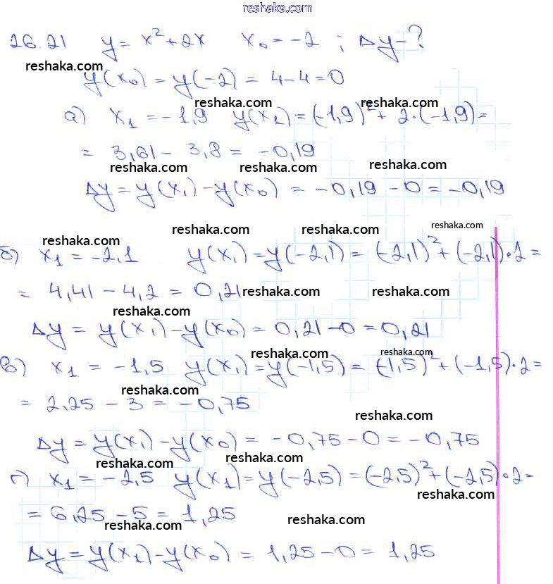
глава 5 / §26 / 26. 21

Решебник №2
глава 5 / §26 / 26. 21

Решебник №3
глава 5 / §26 / 26. 21

Представляем вам сборники по Алгебре, с готовыми ответами к Задачнику Мордкович школьной программы для учеников десятый-одиннадцатый класса. Это не просто гдз с ответом, а с подсказками, как верно решить §26. Предел функции Глава 5 26. 21. Проверяй домашку с умом и получай высший балл!