Решака - онлайн ответы Алгебра Мордкович, Денищева за 10-11 класс Задачник Базовый уровень ФГОС 2015 - 27. 14
Решебник №1
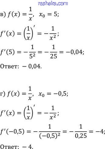
глава 5 / §27 / 27. 14

Решебник №2
глава 5 / §27 / 27. 14


Решебник №3
глава 5 / §27 / 27. 14

Представляем вам сборники по Алгебре, с готовыми ответами к Задачнику Мордкович школьной программы для учеников десятый-одиннадцатый класса. Это не просто гдз с ответом, а с подсказками, как верно решить §27. Определение производной Глава 5 27. 14. Проверяй домашку с умом и получай высший балл!