Решака - онлайн ответы Алгебра Мордкович, Денищева за 10-11 класс Задачник Базовый уровень ФГОС 2015 - 30. 26
Решебник №1
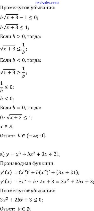
глава 5 / §30 / 30. 26

Решебник №2
глава 5 / §30 / 30. 26



Решебник №3
глава 5 / §30 / 30. 26

Представляем вам сборники по Алгебре, с готовыми ответами к Задачнику Мордкович школьной программы для учеников десятый-одиннадцатый класса. Это не просто гдз с ответом, а с подсказками, как верно решить §30. Применение производной для исследования функций на монотонность и экстремумы Глава 5 30. 26. Проверяй домашку с умом и получай высший балл!