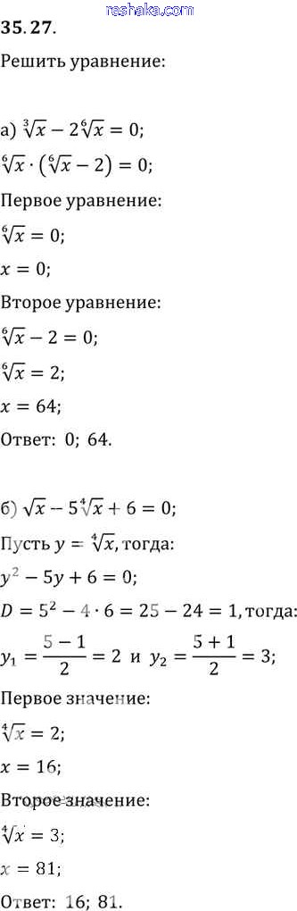
Решака - онлайн ответы Алгебра Мордкович, Денищева за 10-11 класс Задачник Базовый уровень ФГОС 2015 - 35. 27
Решебник №1
глава 6 / §35 / 35. 27

Решебник №2
глава 6 / §35 / 35. 27


Решебник №3
глава 6 / §35 / 35. 27

Представляем вам сборники по Алгебре, с готовыми ответами к Задачнику Мордкович школьной программы для учеников десятый-одиннадцатый класса. Это не просто гдз с ответом, а с подсказками, как верно решить §35. Свойства корня n-й степени Глава 6 35. 27. Проверяй домашку с умом и получай высший балл!