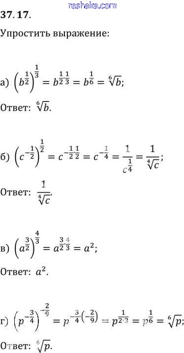
Решака - онлайн ответы Алгебра Мордкович, Денищева за 10-11 класс Задачник Базовый уровень ФГОС 2015 - 37. 17
Решебник №1
глава 6 / §37 / 37. 17

Решебник №2
глава 6 / §37 / 37. 17

Решебник №3
глава 6 / §37 / 37. 17

Представляем вам сборники по Алгебре, с готовыми ответами к Задачнику Мордкович школьной программы для учеников десятый-одиннадцатый класса. Это не просто гдз с ответом, а с подсказками, как верно решить §37. Обобщение понятия о показателе степени Глава 6 37. 17. Проверяй домашку с умом и получай высший балл!