Решака - онлайн ответы Алгебра Мордкович, Денищева за 10-11 класс Задачник Базовый уровень ФГОС 2015 - 38. 22
Решебник №1
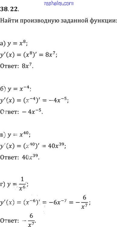
глава 6 / §38 / 38. 22

Решебник №2
глава 6 / §38 / 38. 22

Решебник №3
глава 6 / §38 / 38. 22

Представляем вам сборники по Алгебре, с готовыми ответами к Задачнику Мордкович школьной программы для учеников десятый-одиннадцатый класса. Это не просто гдз с ответом, а с подсказками, как верно решить §38. Степенные функции, их свойства и графики Глава 6 38. 22. Проверяй домашку с умом и получай высший балл!