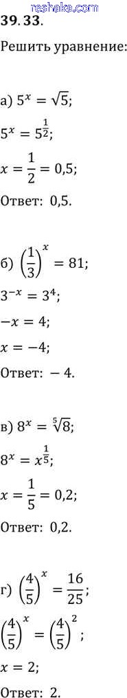
Решака - онлайн ответы Алгебра Мордкович, Денищева за 10-11 класс Задачник Базовый уровень ФГОС 2015 - 39. 33
Решебник №1
глава 7 / §39 / 39. 33

Решебник №2
глава 7 / §39 / 39. 33

Решебник №3
глава 7 / §39 / 39. 33

Представляем вам сборники по Алгебре, с готовыми ответами к Задачнику Мордкович школьной программы для учеников десятый-одиннадцатый класса. Это не просто гдз с ответом, а с подсказками, как верно решить §39. Показательная функция, ее свойства и график Глава 7 39. 33. Проверяй домашку с умом и получай высший балл!