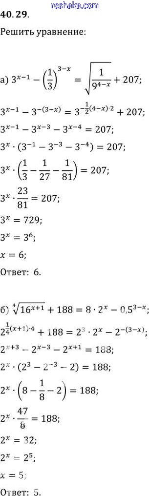
Решака - онлайн ответы Алгебра Мордкович, Денищева за 10-11 класс Задачник Базовый уровень ФГОС 2015 - 40. 29
Решебник №1
глава 7 / §40 / 40. 29

Решебник №2
глава 7 / §40 / 40. 29

Решебник №3
глава 7 / §40 / 40. 29

Представляем вам сборники по Алгебре, с готовыми ответами к Задачнику Мордкович школьной программы для учеников десятый-одиннадцатый класса. Это не просто гдз с ответом, а с подсказками, как верно решить §40. Показательные уравнения и неравенства Глава 7 40. 29. Проверяй домашку с умом и получай высший балл!