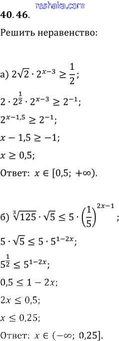
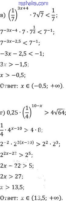
Решака - онлайн ответы Алгебра Мордкович, Денищева за 10-11 класс Задачник Базовый уровень ФГОС 2015 - 40. 46
Решебник №1
глава 7 / §40 / 40. 46

Решебник №2
глава 7 / §40 / 40. 46


Решебник №3
глава 7 / §40 / 40. 46

Представляем вам сборники по Алгебре, с готовыми ответами к Задачнику Мордкович школьной программы для учеников десятый-одиннадцатый класса. Это не просто гдз с ответом, а с подсказками, как верно решить §40. Показательные уравнения и неравенства Глава 7 40. 46. Проверяй домашку с умом и получай высший балл!