Лого сайта Reshaka.com

Решака - онлайн ответы Алгебра Алимов, Колягин за 7 класс Учебник ФГОС 2014 - 5

Решебник №1

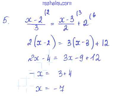
глава 2 / проверь себя / 5

Представляем вам сборники по Алгебре, с готовыми ответами к Учебнику Алимов школьной программы для учеников седьмой класса. Это не просто гдз с ответом, а с подсказками, как верно решить Проверь себя Глава 2. Уравнения с одним неизвестным 5. Проверяй домашку с умом и получай высший балл!