Решака - онлайн ответы Алгебра Алимов, Колягин за 7 класс Учебник ФГОС 2014 - 307
Решебник
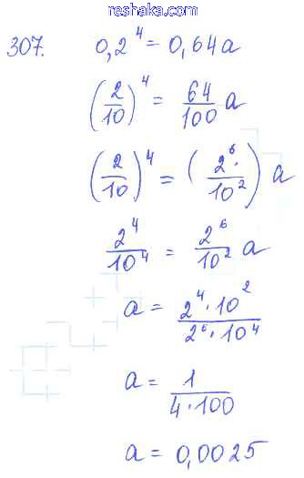
глава 3 / упражнение к главе 3 / 307

Решебник к старому учебнику
глава 3 / упражнение к главе 3 / 307

Представляем вам сборники по Алгебре, с готовыми ответами к Учебнику Алимов школьной программы для учеников седьмой класса. Это не просто гдз с ответом, а с подсказками, как верно решить Упражнения к главе 3 Глава 3. Одночлены и многочлены 307. Проверяй домашку с умом и получай высший балл!