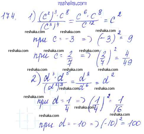
Решака - онлайн ответы Алгебра Алимов, Колягин за 7 класс Учебник ФГОС 2014 - 174
Решебник
глава 3 / §10 / 174

Решебник к старому учебнику
глава 3 / §10 / 174

Представляем вам сборники по Алгебре, с готовыми ответами к Учебнику Алимов школьной программы для учеников седьмой класса. Это не просто гдз с ответом, а с подсказками, как верно решить §10. Свойства степени с натуральным показателем Глава 3. Одночлены и многочлены 174. Проверяй домашку с умом и получай высший балл!