Решака - онлайн ответы Алгебра Алимов, Колягин за 7 класс Учебник ФГОС 2014 - 261
Решебник
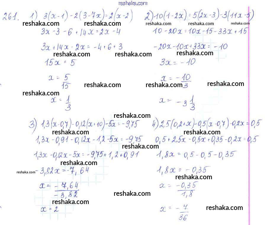
глава 3 / §16 / 261

Решебник к старому учебнику
глава 3 / §16 / 261

Представляем вам сборники по Алгебре, с готовыми ответами к Учебнику Алимов школьной программы для учеников седьмой класса. Это не просто гдз с ответом, а с подсказками, как верно решить §16. Умножение многочлена на одночлен Глава 3. Одночлены и многочлены 261. Проверяй домашку с умом и получай высший балл!