Решака - онлайн ответы Алгебра Алимов, Колягин за 7 класс Учебник ФГОС 2014 - 369
Решебник
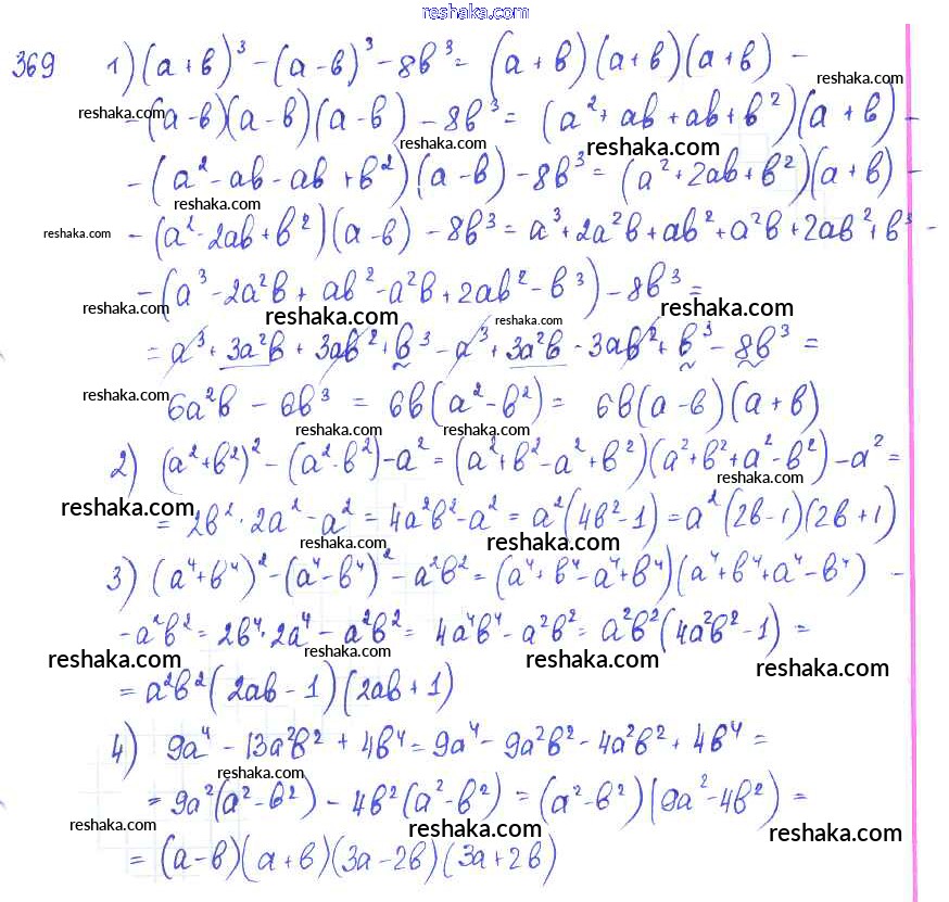
глава 4 / §21 / 369

Решебник к старому учебнику
глава 4 / §21 / 369

Представляем вам сборники по Алгебре, с готовыми ответами к Учебнику Алимов школьной программы для учеников седьмой класса. Это не просто гдз с ответом, а с подсказками, как верно решить §21. Формула разности квадратов Глава 4. Разложение многочленов на множители 369. Проверяй домашку с умом и получай высший балл!