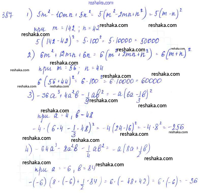
Решака - онлайн ответы Алгебра Алимов, Колягин за 7 класс Учебник ФГОС 2014 - 387
Решебник
глава 4 / §22 / 387

Решебник к старому учебнику
глава 4 / §22 / 387

Представляем вам сборники по Алгебре, с готовыми ответами к Учебнику Алимов школьной программы для учеников седьмой класса. Это не просто гдз с ответом, а с подсказками, как верно решить §22. Квадрат суммы. Квадрат разности Глава 4. Разложение многочленов на множители 387. Проверяй домашку с умом и получай высший балл!