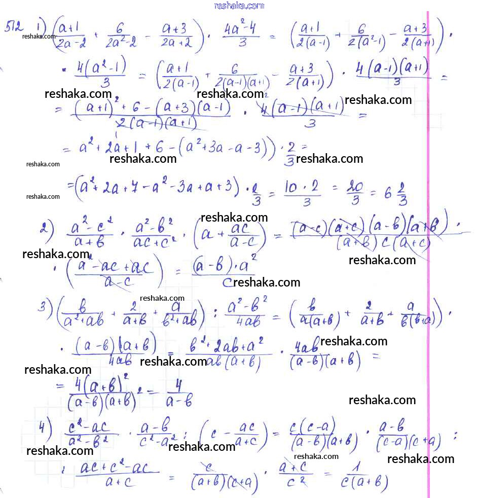
Решака - онлайн ответы Алгебра Алимов, Колягин за 7 класс Учебник ФГОС 2014 - 512
Решебник
глава 5 / упражнение к главе 5 / 512

Решебник к старому учебнику
глава 5 / упражнение к главе 5 / 512


Представляем вам сборники по Алгебре, с готовыми ответами к Учебнику Алимов школьной программы для учеников седьмой класса. Это не просто гдз с ответом, а с подсказками, как верно решить Упражнения к главе 5 Глава 5. Алгебраические дроби 512. Проверяй домашку с умом и получай высший балл!