Решака - онлайн ответы Алгебра Алимов, Колягин за 7 класс Учебник ФГОС 2014 - 682
Решебник
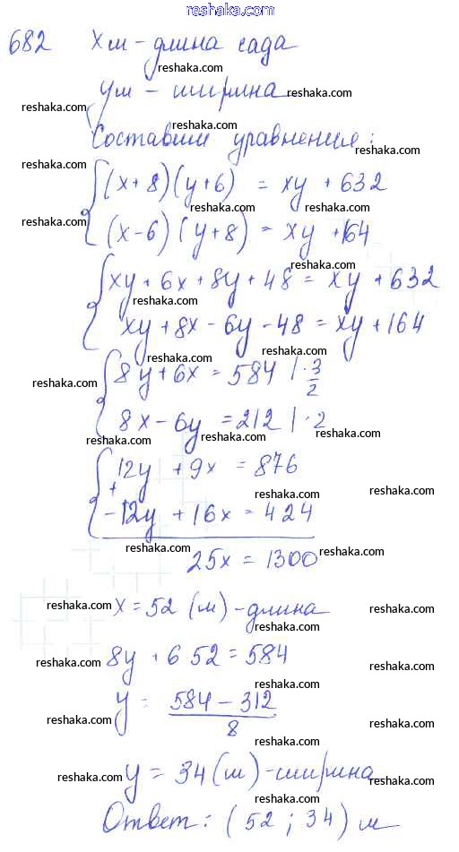
глава 7 / упражнение к главе 7 / 682

Решебник к старому учебнику
глава 7 / упражнение к главе 7 / 682

Представляем вам сборники по Алгебре, с готовыми ответами к Учебнику Алимов школьной программы для учеников седьмой класса. Это не просто гдз с ответом, а с подсказками, как верно решить Упражнения к главе 7 Глава 7. Системы двух уравнений с двумя неизвестными 682. Проверяй домашку с умом и получай высший балл!