Лого сайта Reshaka.com

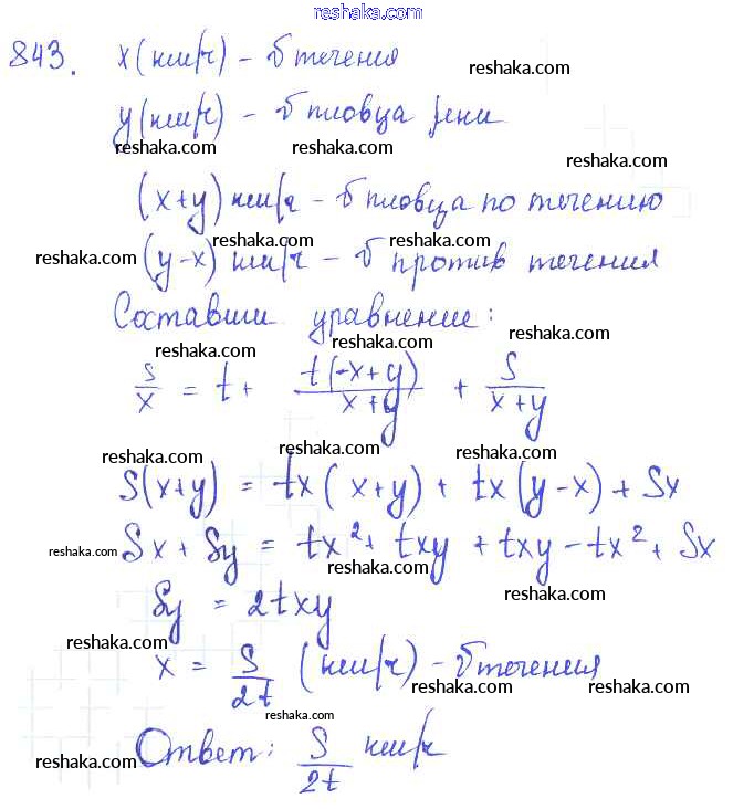
Решака - онлайн ответы Алгебра Алимов, Колягин за 7 класс Учебник ФГОС 2014 - 843

Представляем вам сборники по Алгебре, с готовыми ответами к Учебнику Алимов школьной программы для учеников седьмой класса. Это не просто гдз с ответом, а с подсказками, как верно решить Задачи для внеклассной работы 843. Проверяй домашку с умом и получай высший балл!